• Предмет: Математика
  • Автор: torija1212
  • Вопрос задан 10 лет назад

решите уравнение:
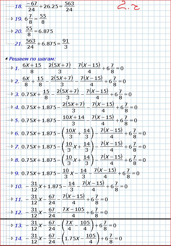
3(2x+5)/8-2(5x+7)/3=7(x-15)/4-6 7/8
на фото 3) ,заранее спасибо

Приложения:

Ответы

Ответ дал: untilovscom
0
смотри картинки будет решение этого примера на 3х картинках
Ответ вроде: приблизительно 4,33
Приложения:
Ответ дал: torija1212
0
спасибо)
Ответ дал: untilovscom
0
лижбы правельно было
Вас заинтересует