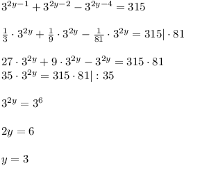
объясните мне пожалуйста) попросила решить уравнение, мне его решили, но я не могу понять откуда тот человек взял 35??? может кто-нибудь может объяснить???
Приложения:

Ответы
Ответ дал:
0
27*(3^2y) + 9*(3^2y) - 3^2y = 315*81
выносим за скобки общий множитель (3^2y)
(3^2y)*(27 + 9 - 1) = 315*81
складываем числа в скобке и получаем 35
(3^2y)*35 = 315*81
ну, а дальше у Вас есть решение
выносим за скобки общий множитель (3^2y)
(3^2y)*(27 + 9 - 1) = 315*81
складываем числа в скобке и получаем 35
(3^2y)*35 = 315*81
ну, а дальше у Вас есть решение
Ответ дал:
0
27*3^2y+9*3^2y-1*3^2y=315*81
27+9-1=35
35*3^2y=315*81:35
27+9-1=35
35*3^2y=315*81:35
Вас заинтересует
2 года назад
7 лет назад
7 лет назад
10 лет назад
10 лет назад