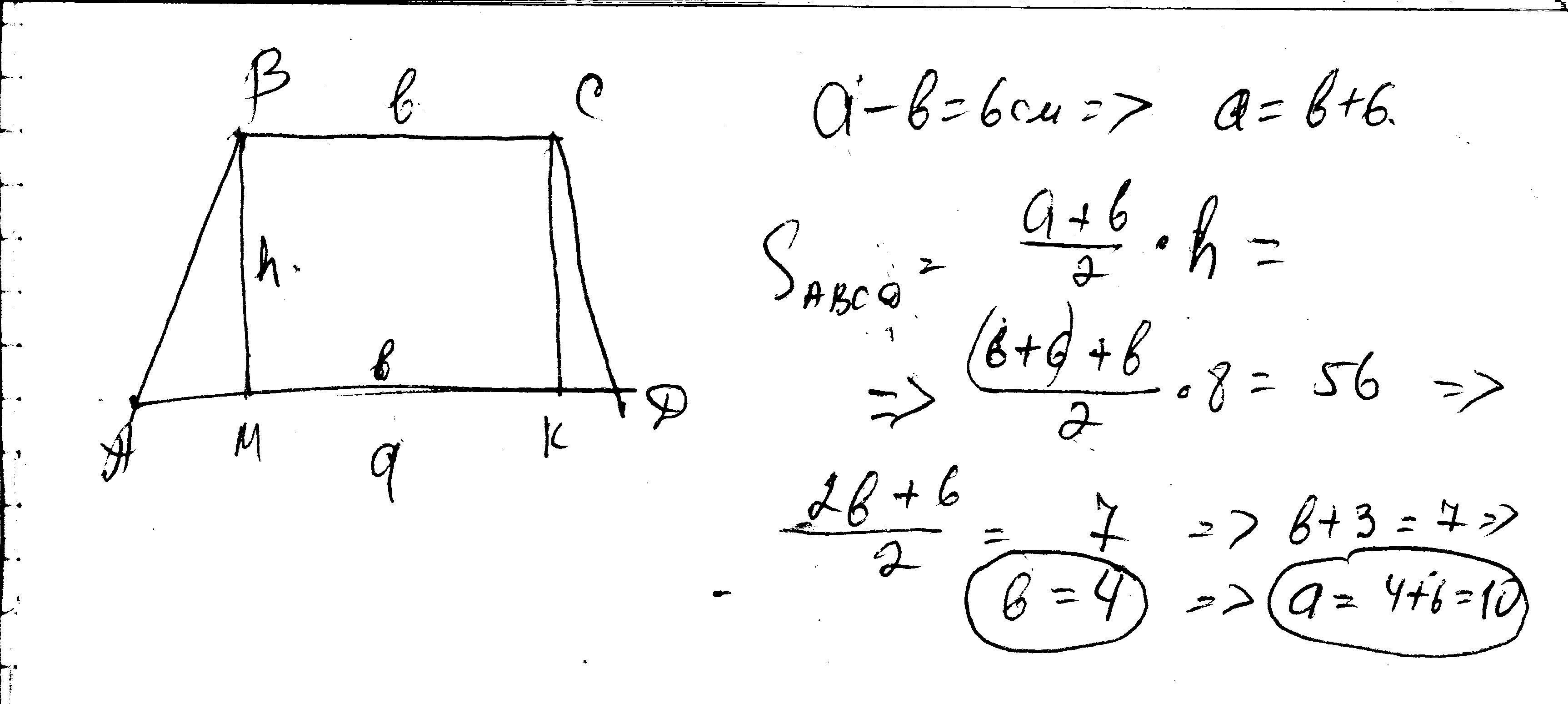
Разность оснований трапеции равна 6 см, а высота трапеции равна 8 см.Найдите основания трапеции если ее площадь равна 56 см квадратных
Ответы
Ответ дал:
0
решение в скане............
Приложения:
Вас заинтересует
3 года назад
3 года назад
8 лет назад
8 лет назад
10 лет назад
10 лет назад
11 лет назад