• Предмет: Алгебра
  • Автор: 21071998
  • Вопрос задан 10 лет назад

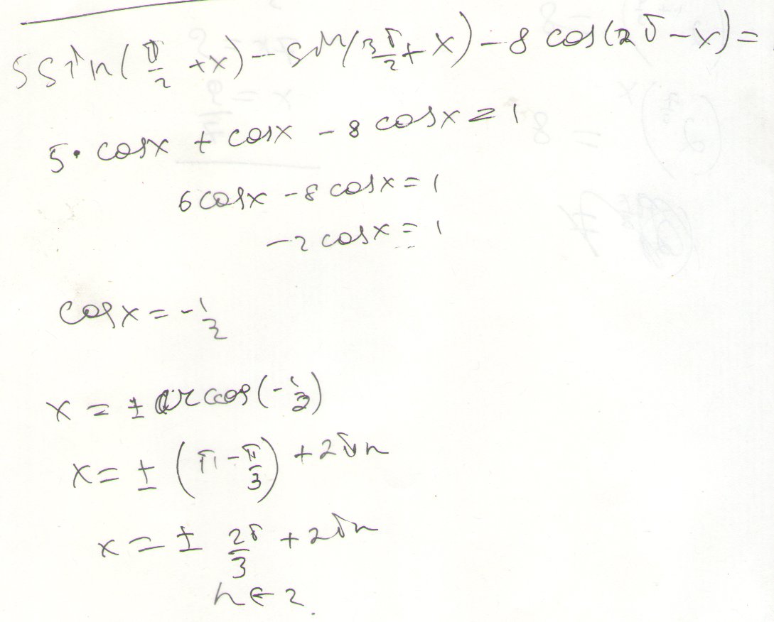
5 sin ( п/2+x)-sin(3п/2+x)-8 cos(2п-x)=1

Ответы

Ответ дал: shogunuz
0
Вот и решение данного уравнения.
Приложения:
Ответ дал: 21071998
0
Спасибо!
Ответ дал: shogunuz
0
всегда пожалуйста, обращайтесь.
Вас заинтересует