Ответы
Ответ дал:
0
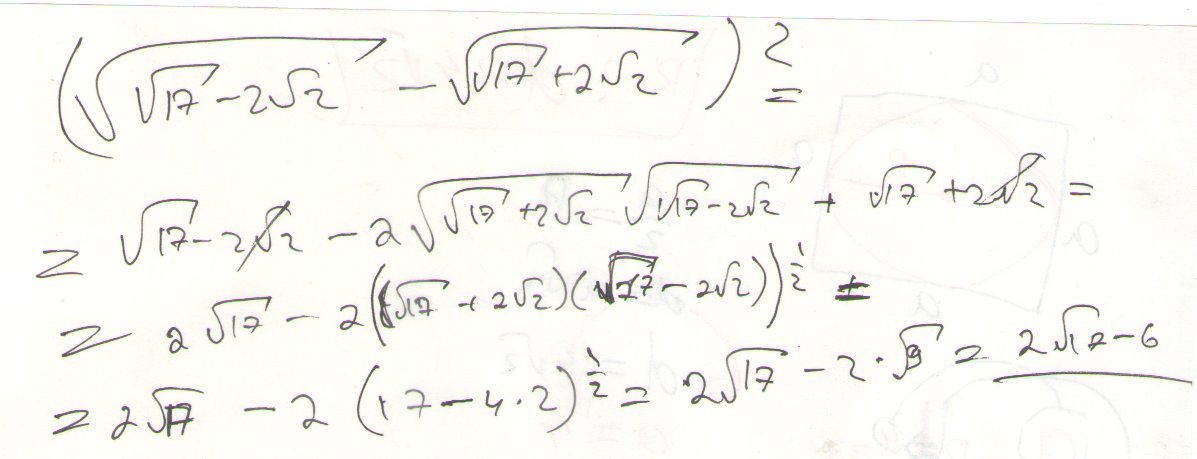
[√(√17 - 2√2) - √(√17 + 2√2)] ² = √17 - 2√2 - 2√(√17 - 2√2) * √(√17 + 2√2) +
+ √17 + 2√2 = 2√17 - 2√[(√17 - 2√2) * (√17 + 2√2)] = 2√17 - 2√(17 - 8) =
= 2√17 - 2*3 = 2(√17 - 3)
+ √17 + 2√2 = 2√17 - 2√[(√17 - 2√2) * (√17 + 2√2)] = 2√17 - 2√(17 - 8) =
= 2√17 - 2*3 = 2(√17 - 3)
Ответ дал:
0
Вот решение данного выражения:
з.ы. Упс, не заметил комментарий автора.
з.ы. Упс, не заметил комментарий автора.
Приложения:

Вас заинтересует
2 года назад
7 лет назад
7 лет назад
10 лет назад
10 лет назад
10 лет назад