• Предмет: Алгебра
  • Автор: Lenka1402
  • Вопрос задан 10 лет назад

Помогите пожалуйста
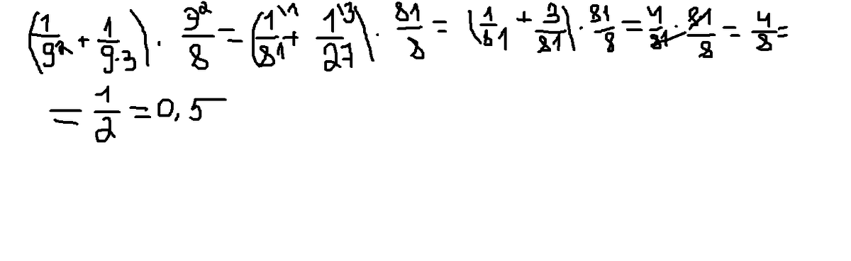
Найдите значение выражения при а=9

Приложения:

Ответы

Ответ дал: bul200
0
Сводится к а/9. Там вычисления, как фотку вставить?
Ответ дал: Tatianakis
0
Вот так должно быть,тут просто
Приложения:
Вас заинтересует