дано:с {-3;6},b{2;-2},
a=c-b. найдите:
а)координаты вектора а,
б) длину вектора а,
в)разложение вектора а по координатным векторам i и j.
Ответы
Ответ дал:
0
a)a=(-1, 2)-(2,-2)
a=(-3,4)
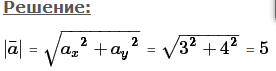
б) В расширении решение
в)x=3i+4j
Приложения:

Вас заинтересует
2 года назад
2 года назад
8 лет назад
10 лет назад
10 лет назад
10 лет назад