Ответы
Ответ дал:
0
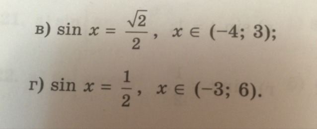
1) sinx = √2/2
x = (-1)^(n)arcsin(√2/2) + 2πn, n∈Z
x = (-1)^(n)(π/4) + 2πn, n∈Z
2) sinx = 1/2
x = (-1)^(n)arcsin(1/2) + 2πn, n∈Z
x = (-1)^(n)(π/6) + 2πn, n∈Z
x = (-1)^(n)arcsin(√2/2) + 2πn, n∈Z
x = (-1)^(n)(π/4) + 2πn, n∈Z
2) sinx = 1/2
x = (-1)^(n)arcsin(1/2) + 2πn, n∈Z
x = (-1)^(n)(π/6) + 2πn, n∈Z
Ответ дал:
0
это я знаю, мне нужно с отбором корней
Ответ дал:
0
1)sinx=√2/2
x=(-1)^n*π/4+πn
x=-π/4;-3π/4
2)sinx=1/2
x=(-1)^4n*π/6+πn
x=π/6;5π/6
x=(-1)^n*π/4+πn
x=-π/4;-3π/4
2)sinx=1/2
x=(-1)^4n*π/6+πn
x=π/6;5π/6
Вас заинтересует
3 года назад
3 года назад
8 лет назад
8 лет назад
10 лет назад
10 лет назад
11 лет назад