Плиз!!! Сделайте!!!
В первый день в магазине продали две девятые всей завезенной вишни, а во второй четыре девятые всей завезенной вишни. Сколько килограммов вишни завезли, если во второй день продали на 90 кг больше, чем в первый?
Ответы
Ответ дал:
0
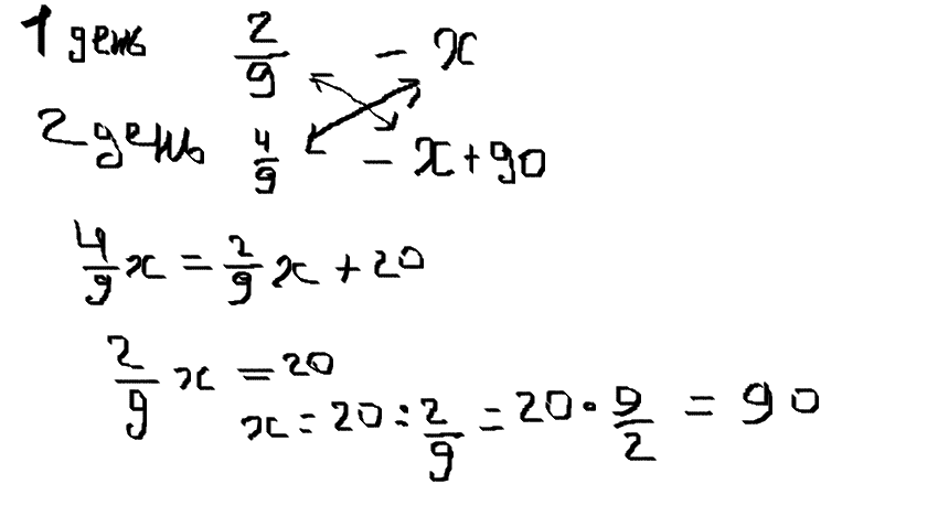
х=90 ( в 1 день)
х2= 90+90 = 180
всего 180+90= 270 кг.
Ответ: 270 кг
х2= 90+90 = 180
всего 180+90= 270 кг.
Ответ: 270 кг
Приложения:
Ответ дал:
0
если с английским дружишь то поймешь всю инфу обо мне
Ответ дал:
0
име
Ответ дал:
0
посредникова ты
Ответ дал:
0
я Орлова Вика
Ответ дал:
0
вообще я с англом не дружу мы враги
Вас заинтересует
3 года назад
3 года назад
8 лет назад
8 лет назад
10 лет назад
10 лет назад
11 лет назад
11 лет назад