Обратите внимание на кол-во пунктов!
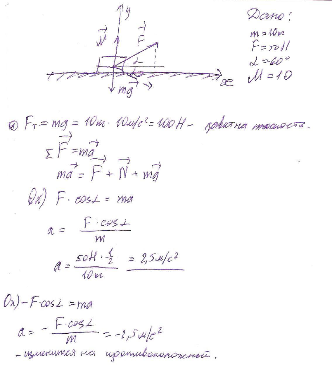
1)По гладкой горизонтальной поверхности движется тело массой 10 кг под действие постоянной силы 50 Н направленной под углом 60 к горизонту вверх. Определите: С каким ускорением движется тело и с какой силой тело давит на плоскость. 2) Как изменится ответ если сила будет направленна под углом 60 к горизонту вниз?
Ответы
Ответ дал:
0
надеюсь понятно будет...
Приложения:

Вас заинтересует
2 года назад
2 года назад
8 лет назад
8 лет назад
10 лет назад
10 лет назад
10 лет назад