• Предмет: Алгебра
  • Автор: mrartemsuturi
  • Вопрос задан 10 лет назад

Вычислить:
СРОЧНО ПОЖ !! ПИСАТЬ ТОКА ПО ТЕМЕ !!!!

Приложения:

Ответы

Ответ дал: nata13lie
0
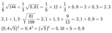
1) 1/6*√144+1/3*√0,81=1/6*12+1/3*0,9=2+0,3=2,3
2) 2,1+0,3*(√81/169)=2,1+0,9=3
3) (0,4√5)²=0,16*5=0,8
Ответ дал: mrartemsuturi
0
и тебе тоже спс
Ответ дал: mrartemsuturi
0
очень помогли
Ответ дал: nata13lie
0
Пустяки:))
Ответ дал: SkyBy
0
Смотрите решение в прикреплённом файле.
Приложения:
Ответ дал: mrartemsuturi
0
спс тебе
Ответ дал: mrartemsuturi
0
очень помогли
Вас заинтересует