Ответы
Ответ дал:
0
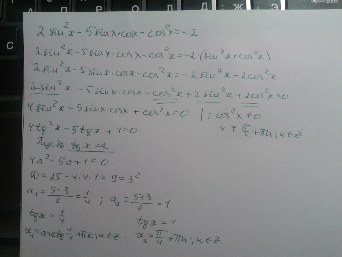
Всё подробно написала в решении...
Приложения:

Ответ дал:
0
Не ожидал,что так быстро ответят,спасибо большое.
Вас заинтересует
2 года назад
10 лет назад
10 лет назад