прошу решите мне деление на однозначное число умоляю не понимаю как делать 768 разделить на 16 и 768 разделить на 32
Ответы
Ответ дал:
0
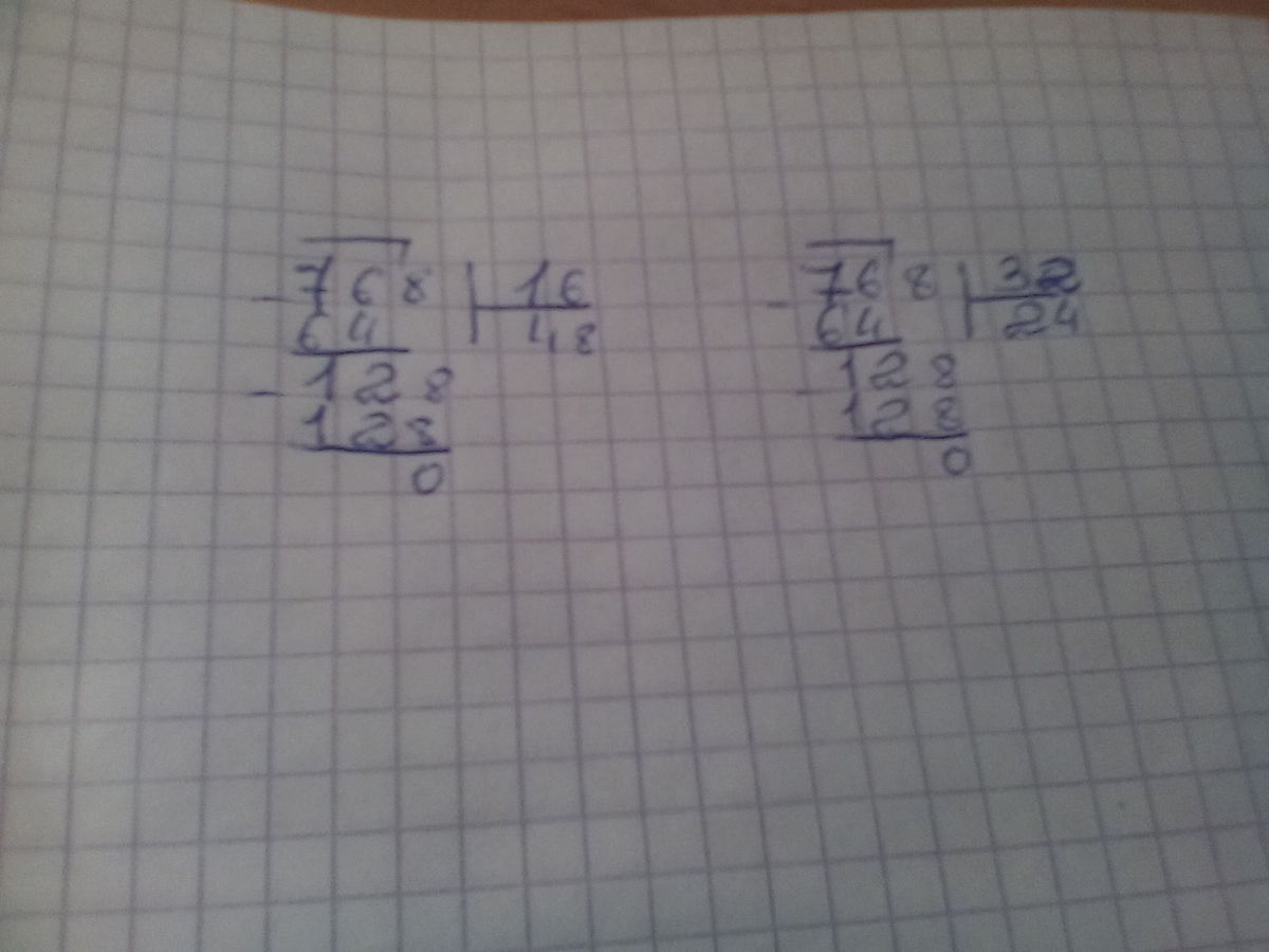
768÷16=48
768÷32=24...
768÷32=24...
Ответ дал:
0
спасибо огромное!!!
Ответ дал:
0
.........................
Приложения:

Ответ дал:
0
Ага так тебе удобней будет
Ответ дал:
0
Согласна,очень удобно
Ответ дал:
0
тебе помочь с чем нибудь?
Ответ дал:
0
Нет я сама
Ответ дал:
0
Ну ладно
Вас заинтересует
2 года назад
2 года назад
7 лет назад
10 лет назад