• Предмет: Физика
  • Автор: maikal309
  • Вопрос задан 10 лет назад

Помогите, дам 20 баллов.
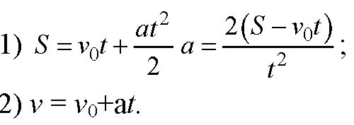
1. Уклон длинной 100м лыжник прошел за 20с, двигаясь с ускорением 0,3м/с^2 . Какова скорость лыжника в начале и в конце уклона?
2. Тело массой 4кг, под действие некоторой силы, приобрело ускорение 2м/с^2 . Какое ускорение приобретает тело массой 10кг под действием такой же силы?
3. Тело массой 12кг падает с высоты 8м. Найди его потенциальную энергию.

Ответы

Ответ дал: Валерия2002165
0
Это решение задачи!!!!!
Приложения:
Вас заинтересует