Ответы
Ответ дал:
0
номер 1
(2х)^5=2^5* x^5
(2х)^5=2^5* x^5
Ответ дал:
0
под буквой в) помогите
Ответ дал:
0
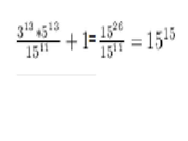
= 
Приложения:


Ответ дал:
0
И ришение одного примера
Ответ дал:
0
решение*
Ответ дал:
0
фото можете кинуть?
Ответ дал:
0
там все равно одно и тоже
Ответ дал:
0
всмысле тоже самое что скидывал мне? я у вас про 3е, задание спрашивала про самый последний номер. скиньте его решение.
Вас заинтересует
2 года назад
7 лет назад
7 лет назад
10 лет назад
10 лет назад
10 лет назад