• Предмет: Физика
  • Автор: ezdenalmina
  • Вопрос задан 10 лет назад

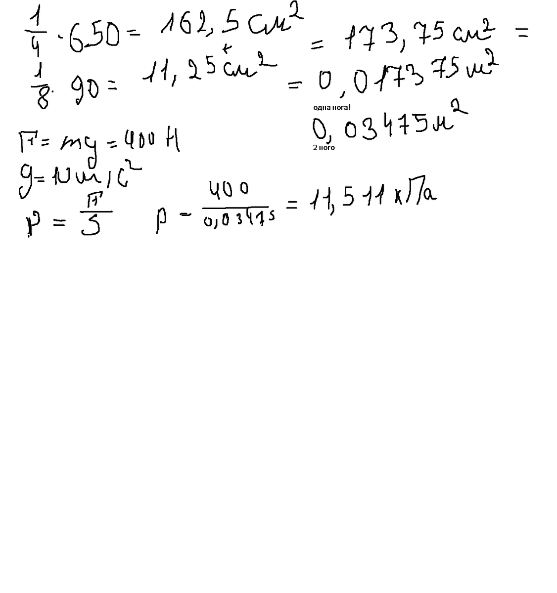
давление вы производите при ходьбе и стоя на месте.Указание.Площадь опоры ботинка определите следующим образом.Поставте на лист клетчатой бумаги и обведите контур той части подошвы,на которую опираеться нога.Сосчитайте число полных квадратиков,попавших внутрь контура,и прибавте к нему половину числа неполных квадратиков,через которые прошла линия контура.Полученное число умножте на площадь одного кводратика(площадь квадратика 1/4см(в квадрате))и найдитеплощадь подошвы!
----------------------------------------
Я кароче посчитал:полные клеточки-650
неполные-90
мой вес 40 кг...помогите пожалуйста!

Ответы

Ответ дал: blad3518
0
,,,,,,,,,,,,,,,,,,,,,,,,,,,,,,,,,,,,,,,,,,,,,,,,,,,,,,
Приложения:
Ответ дал: blad3518
0
Мне легче самому разобраться!
Ответ дал: blad3518
0
Вот представь не ходить на физику и за четверть иметь 5)
Ответ дал: ezdenalmina
0
тогда ты просто гений
Ответ дал: ezdenalmina
0
Привет
Ответ дал: ezdenalmina
0
Пожалуйста помоги мне с историей Адыгеи
Вас заинтересует