• Предмет: Физика
  • Автор: ilzzzz
  • Вопрос задан 10 лет назад

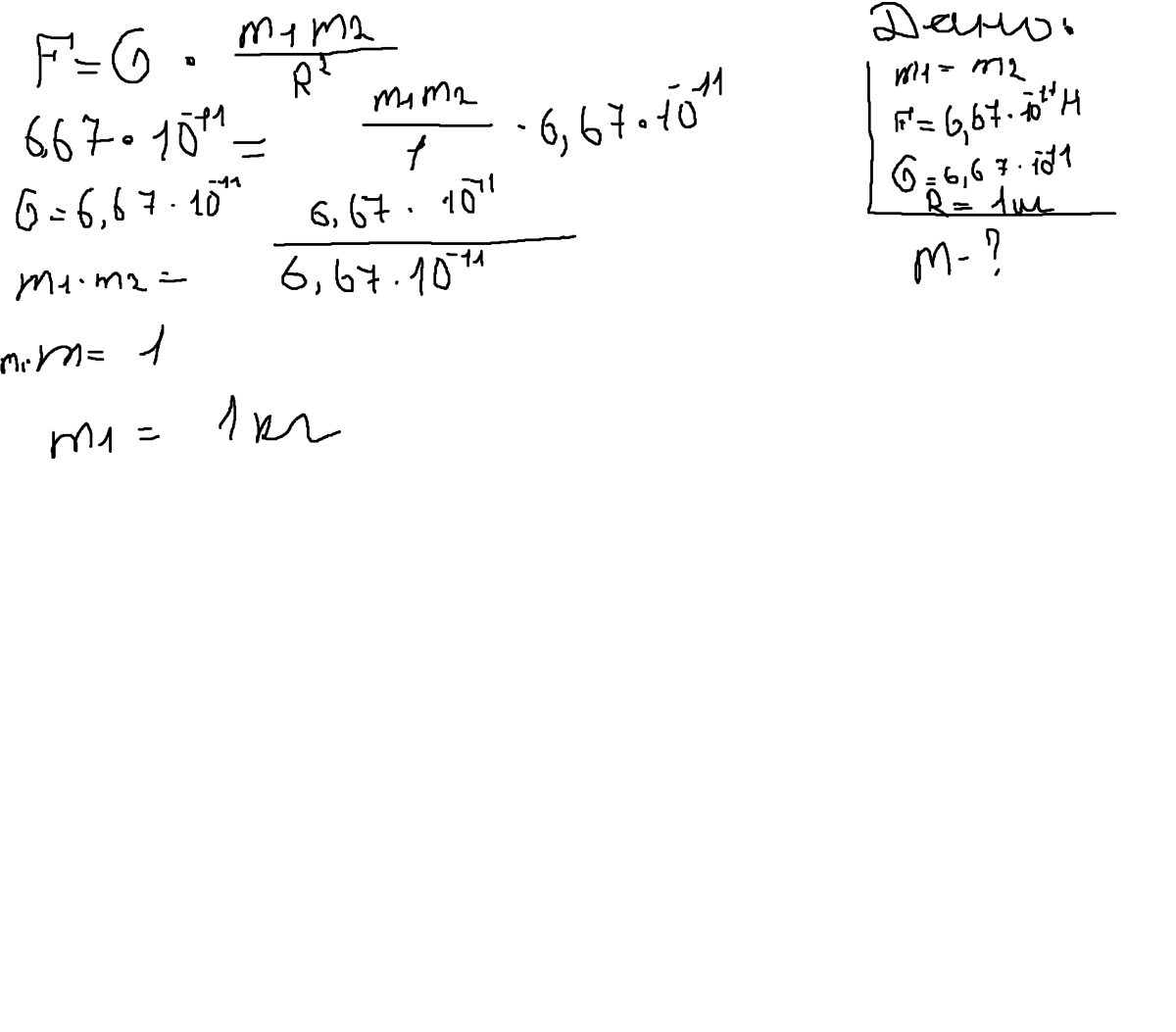
Два одинаковых тела, которые можно принять за материальную точку находятся друг от друга на расстоянии 1 м. Определите массы этих тел, если они притягиваются с силой 6,67 умноженное на 10 -11 степени Н. ПЛАЧУУУУ МНОГО БАЛЛОВ

Ответы

Ответ дал: blad3518
0
,,,,,,,,,,,,,,,,,,,,,,,,,,,,,,,,,,,,,,,,,,,,,,,,
Приложения:
Ответ дал: ilzzzz
0
Можно с Дано:?
Ответ дал: blad3518
0
дописывать лень, извини!
Ответ дал: ilzzzz
0
Можете плииииз, !!! Сами дописать что к чему относится пооооожжж
Ответ дал: blad3518
0
тебе щас надо?
Ответ дал: ilzzzz
0
Да, но могу подождать минут 15)) Будууу оооочееень благодарна вамм
Вас заинтересует