• Предмет: Алгебра
  • Автор: zhbyrf
  • Вопрос задан 11 лет назад

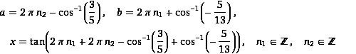
cos a=3/5 cos b=-5/13 tg(a+b)-?

Ответы

Ответ дал: stepa1211
0

Найдём синус а это корень из 1- косинус квадрат а = корень из 1- 925= 45  Найдём синус в Т.к. сосинус отрицательный то угол во второй четверти, а синус во второй четверти положительный синус буде = корню из 1 - 25169 будет 1213. Найдём тангенс а = 45: 35=43 Найдём тангенс в 1213: - 513= -125. Найдём тангенс а+в= (tga+tgb) 1- tga* tgb=(43-125): ( 1+43*125)= -1663

Ответ дал: caralimcea
0

pusti budet tg(a+b)=x togda naidem x:pasmatri na kartinke

Приложения:
Вас заинтересует