• Предмет: Физика
  • Автор: den777sivkov
  • Вопрос задан 10 лет назад

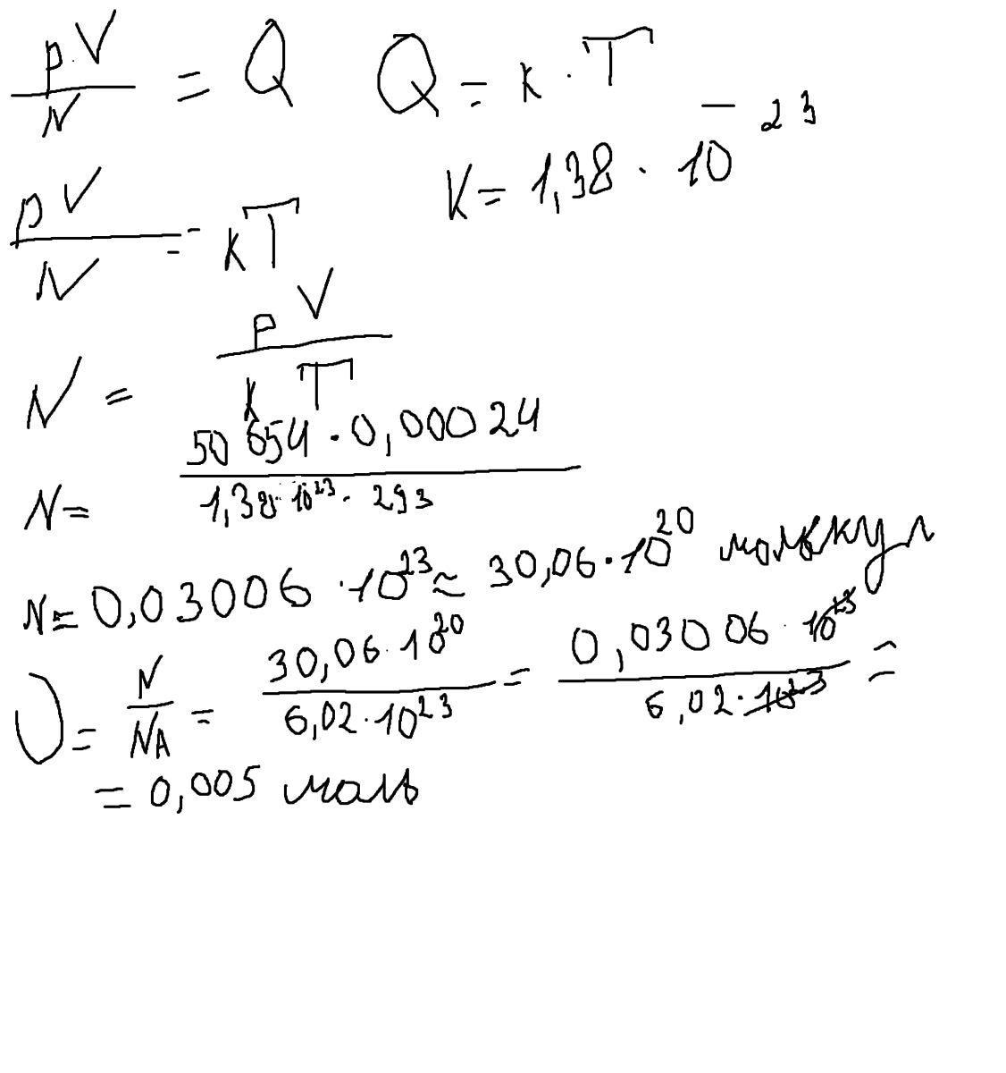
Сколько киломолей и сколько молекул газа находится в колбе емкостью 240 см3, если температура газа 20 °С и давление 380 мм.рт.ст.?

Ответы

Ответ дал: blad3518
0
,,,,,,,,,,,,,,,,,,,,,,,,,,,,,,,,,,,,,,,,

Приложения:
Вас заинтересует