• Предмет: Алгебра
  • Автор: Аноним
  • Вопрос задан 10 лет назад

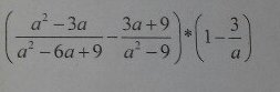
Упростите выражение:

Приложения:

Ответы

Ответ дал: Аноним
0
1)a(a-3)/(a-3)²-3(a+3)/(a-3)(a+3)=a/(a-3)-3/(a-3)=(a-3)/(a-3)=1
2)1-3/a=(a-3)/a
1*(a-3)/a=(a-3)/a
Ответ дал: ATLAS
0
 (frac{a^2-3a}{a^2-6a+9}- frac{3a+9}{a^2-9})*(1- frac{3}{a})=\\= (frac{a(a-3)}{(a-3)^2}- frac{3(a+3)}{(a-3)(a+3)})* frac{a-3}{a} = (frac{a}{a-3}- frac{3}{a-3})* frac{a-3}{a}=\\= frac{a-3}{a-3}* frac{a-3}{a}=frac{1*(a-3)}{a}=frac{a-3}{a}
Ответ дал: limonny
0
Ошибка в первом действии , когда 3а+9 раскалываешь как 3(а-3) почему то
Ответ дал: ATLAS
0
Спасибо. Исправлено.
Ответ дал: Аноним
0
Конечно!
Вас заинтересует