• Предмет: Алгебра
  • Автор: bushuevaai1999
  • Вопрос задан 10 лет назад

ОЧЕНЬ СРОЧНО!!! ПРОШУ ПОМОГИТЕ!!!
НОМЕР 7! ПОЖАЛУЙСТА

Приложения:

Ответы

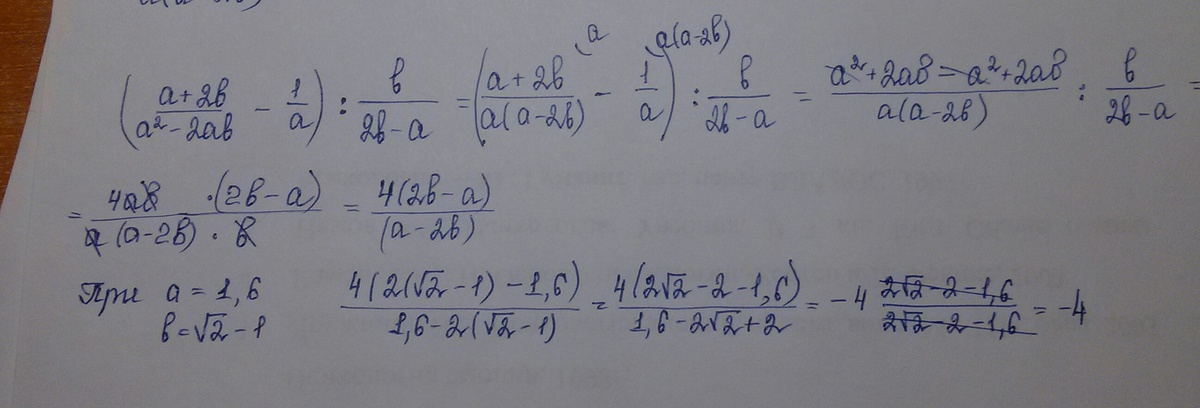
Ответ дал: taylorm
0
Решение  во вложении....... 
Приложения:
Вас заинтересует