Ответы
Ответ дал:
0
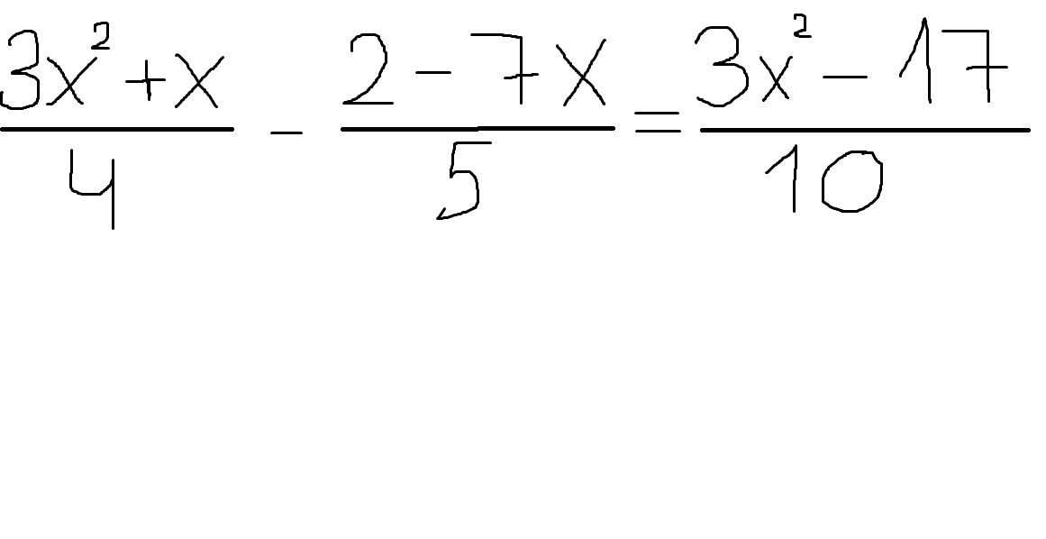
3x^2+x/4 - 2-7x/5 - 3x^2-17/10 = 0
15x^2+5x-8+8x-6x^2+34/20 = 0
9x^2+33x+26=0
Д=1089+4*9*26=1089+936=2025=45
x1=-33+45/18=12/18=4/6=2/3
x2=-33-45/18=-78/18=-39/9=-4*1/3
15x^2+5x-8+8x-6x^2+34/20 = 0
9x^2+33x+26=0
Д=1089+4*9*26=1089+936=2025=45
x1=-33+45/18=12/18=4/6=2/3
x2=-33-45/18=-78/18=-39/9=-4*1/3
Ответ дал:
0
или что?
Ответ дал:
0
или это во второй степени?
Ответ дал:
0
да это степень
Ответ дал:
0
во второй степени)
Ответ дал:
0
спасибо
Вас заинтересует
3 года назад
10 лет назад
11 лет назад