• Предмет: Алгебра
  • Автор: kamaletdinov71
  • Вопрос задан 10 лет назад

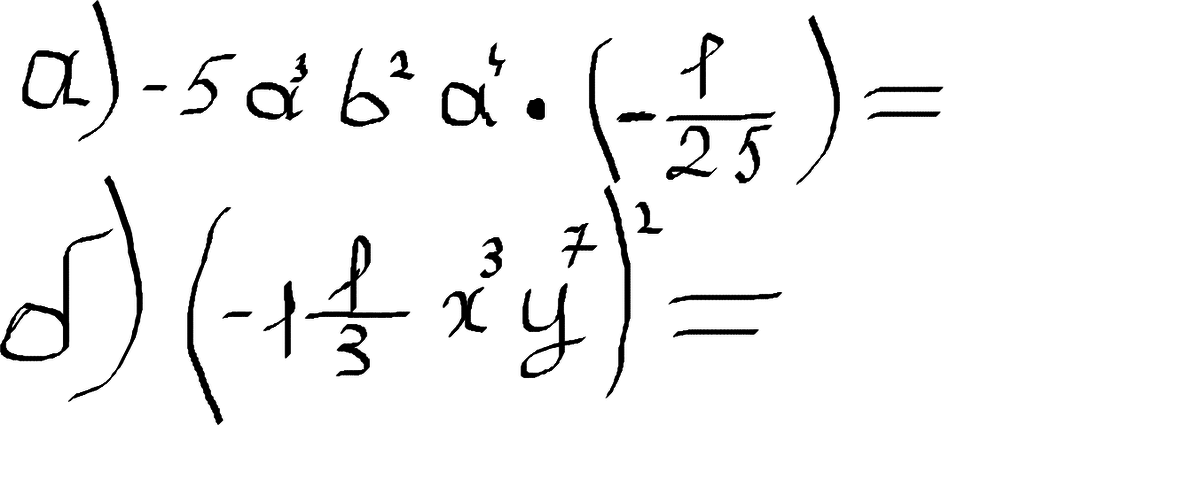
a)-5a^3b^2a^4b^4 • ( -1/25) =
б) 16a^5 b^8c^2 : (-7a^3bc)=

Приложения:

Ответы

Ответ дал: yanasevastyano
0
a)- 15a^7b^2
b)1 79x^6y^14
Вас заинтересует