• Предмет: Математика
  • Автор: Lyuba888
  • Вопрос задан 10 лет назад

Помогите пожалуйста, подробно. Найдите корень уравнения

Приложения:

Ответы

Ответ дал: Yena
0
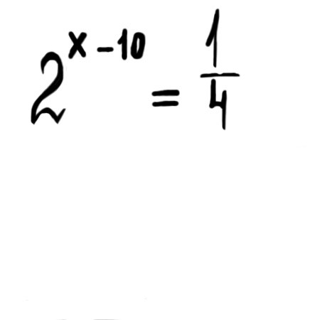
2^{x-10}=frac{1}{4} \ 2^{x-10}=4^{-1} \ 2^{x-10}=2^{-2} \ x-10=-2 \ x=8
Приложения:
Ответ дал: Lyuba888
0
обновила, всё ровно не видно
Ответ дал: Lyuba888
0
;( жаль, но спасибо
Ответ дал: Yena
0
сейчас картинку добавлю
Ответ дал: Lyuba888
0
спасибо
Ответ дал: Lyuba888
0
большое
Вас заинтересует