• Предмет: Физика
  • Автор: ДашаДаша1
  • Вопрос задан 10 лет назад

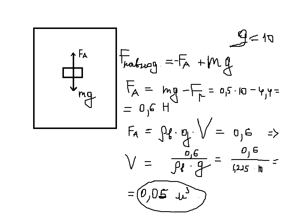
Металлическую деталь массой 500г подвесили к динамометру и опустили в газ. Какой объем детали, если показания динамометра составляют 4,4Н?

Ответы

Ответ дал: Hugh666
0
вот решение на эту задачу
Приложения:
Вас заинтересует