• Предмет: Алгебра
  • Автор: koltyrinajulia
  • Вопрос задан 10 лет назад

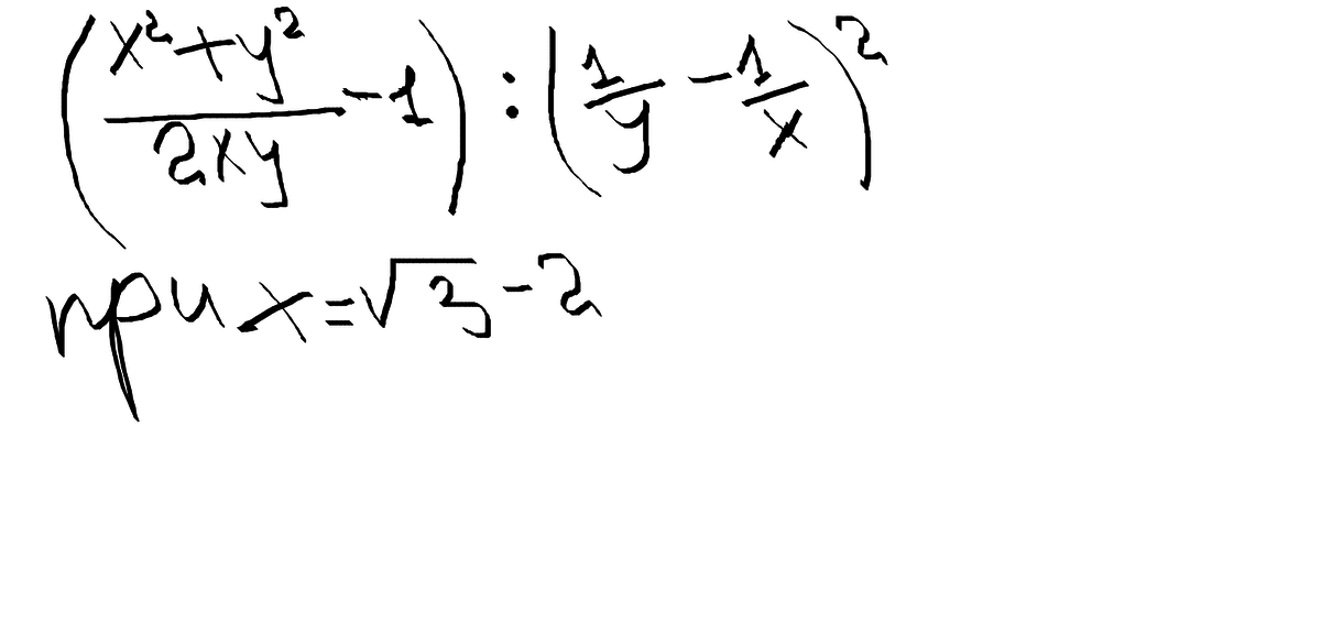
найдите значение выражения (во вложение)

Приложения:

Ответы

Ответ дал: Yena
0
(frac{x^2+y^2}{2xy}-1) : ( frac{1}{y}- frac{1}{x})^2=frac{x^2+y^2-2xy}{2xy} : (frac{x-y}{xy})^2= \ \  
= frac{(x-y)^2}{2xy} : frac{(x-y)^2}{x^2y^2}= frac{(x-y)^2}{2xy} cdot frac{x^2y^2}{(x-y)^2}= \  \ = frac{xy}{2}  \  \ x= sqrt{3} -2     y=x= sqrt{3} +2 \  \  frac{(sqrt{3} -2)(sqrt{3} +2)}{2}= frac{3-4}{2}= -frac{1}{2}
Ответ дал: karmelita1953
0
((х-у)²/2ху)/(х-у)/ху=(х-у)²/2ху*ху/(х-у)=(х-у)/2=(√3-2-√3-2)/2=-4/2=-2
Вас заинтересует