• Предмет: Алгебра
  • Автор: Bekjon
  • Вопрос задан 10 лет назад

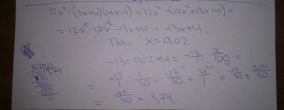
найдите значение выражения 12 x в квадрате минус скобка открывается три икс плюс четыре скобка закрывается скобка открывается 4 икс минус один скобка закрывается три икс равно ноль целых две сотых

Ответы

Ответ дал: Otlichnick2
0
12x^2-(3x+4)(4x-1)3x=0,2; 12x^2-12x^2+3x-16x+12x=0,2; X=-0,2
Ответ дал: Bekjon
0
Что с этим делать
Ответ дал: EmmaSwan98
0
сейчас решу
Ответ дал: Bekjon
0
Извини но там не 3х а при х=0,02
Ответ дал: EmmaSwan98
0
ок
Ответ дал: Bekjon
0
Помоги пожалуйста
Ответ дал: EmmaSwan98
0
......................................
Приложения:
Вас заинтересует