• Предмет: Алгебра
  • Автор: kbobkova2012
  • Вопрос задан 10 лет назад

помогите решить под буквой А

Приложения:

Ответы

Ответ дал: лелик2108
0
3x(x2-3x+2)
по моему так
первая x в скобках в квадрате(x2)



Ответ дал: kbobkova2012
0
спасибо
Ответ дал: volkodav575
0
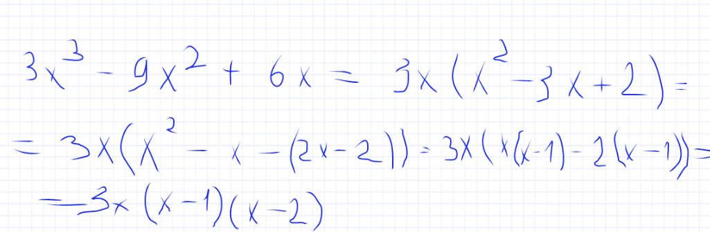
Вот полное разложение на множители.
Приложения:
Вас заинтересует