• Предмет: Алгебра
  • Автор: Gorynych98
  • Вопрос задан 10 лет назад

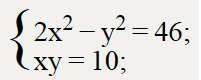
Как это решить с объяснением

Приложения:

Ответы

Ответ дал: duadna23
0
Из второго уравнения х=10/у(у не равен нулю). Подставим в первое: 2(10/у)^2- у^2 =46; 200-у^4-46у^2=0; у^2=t; t^2 +46t -200=0; D=46*46+800=2916=54*54; t1=(-46+54)/2=4; t2=-50; y1=2;y2=-2; x1=10/2=5;x2=-5. Ответ:х1=5; у1=2 и х2=-5; у2=-2
Ответ дал: Gorynych98
0
спс
Ответ дал: duadna23
0
пожалуйста.
Вас заинтересует