• Предмет: Алгебра
  • Автор: fraugaly2014
  • Вопрос задан 10 лет назад

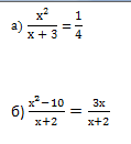
Найдите корни уравнений

Приложения:

Ответы

Ответ дал: EmmaSwan98
0
......................................
Приложения:
Ответ дал: fraugaly2014
0
спасибо))
Ответ дал: EmmaSwan98
0
пожалуйста)
Вас заинтересует