• Предмет: Физика
  • Автор: Луначарская
  • Вопрос задан 11 лет назад

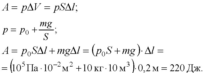
В вертикально расположеном цилиндре с площадью основания 1 кв.дм. под поршнем 10 кг., скользящим без трения, находится воздух. При изобарном нагревании воздуха поршень поднялся на 20 см. Какую работу совершил воздух, если наружнее давление 100кПа?

Ответы

Ответ дал: lolwtf
0

Решение во вложении....................

 

Приложения:
Вас заинтересует