• Предмет: Алгебра
  • Автор: Аноним
  • Вопрос задан 11 лет назад

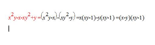
Разложить на множители x^2y-x-xy^2+y

Ответы

Ответ дал: triolana
0

====================================================

Приложения:
Вас заинтересует