• Предмет: Математика
  • Автор: Аноним
  • Вопрос задан 11 лет назад

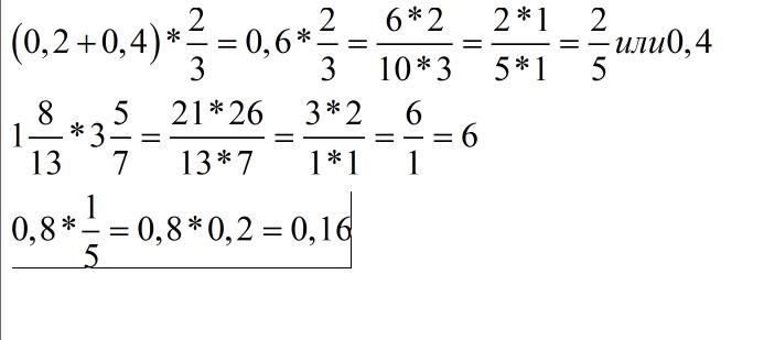
д)(0,2+04)*2/3 б)1 целых 8/13*3 целых 5/7 г)0,8*1/5

Ответы

Ответ дал: triolana
0

===============================================

Приложения:
Вас заинтересует