Ответы
Ответ дал:
0
вроде так)))))))))))
Приложения:

Ответ дал:
0
Я тебе очень очень благодарен!!)))У тебя вк есть? :D
Ответ дал:
0
да, id138173872
Ответ дал:
0
Используем формулы:
ах^2 + вх + с = 0
Д = в^2 - 4ас
х1 = (-в - корень из Д) / 2а
х2 = (-в + корень из Д) / 2а
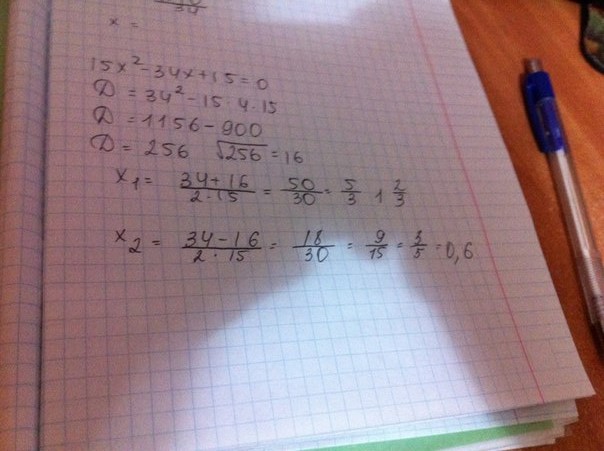
1. 15х^2-34х+15=0
Д = 34^2 - 4*15*15 = 1156 - 900 = 256
х1 = (34-16) / (2*15) = 18/30=3/5
х2 = (34+16) / (2*15) = 50/30=5/3
Ответ: 3/5, 5/3
ах^2 + вх + с = 0
Д = в^2 - 4ас
х1 = (-в - корень из Д) / 2а
х2 = (-в + корень из Д) / 2а
1. 15х^2-34х+15=0
Д = 34^2 - 4*15*15 = 1156 - 900 = 256
х1 = (34-16) / (2*15) = 18/30=3/5
х2 = (34+16) / (2*15) = 50/30=5/3
Ответ: 3/5, 5/3
Приложения:

Вас заинтересует
2 года назад
2 года назад
7 лет назад
10 лет назад
10 лет назад