• Предмет: Алгебра
  • Автор: danusya1971
  • Вопрос задан 11 лет назад

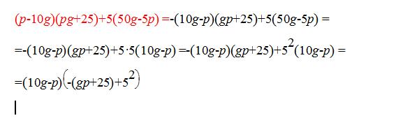
разложите на множители (p-10q)(pq+25)+5(50q-5p)

Ответы

Ответ дал: triolana
0

================================================

Приложения:
Вас заинтересует