Помогите решить номер 2 и 3. Я пытался разобраться но не получилось. Если не можете все 2, помогите хотя, бы 1 номером.
Заранее спасибо
Приложения:

Ответы
Ответ дал:
0
Могу ошибаться, но вроде бы все верно
Приложения:

Ответ дал:
0
Спасибо большое! Очень помог!
Ответ дал:
0
в первом 3ью степень потерял, в третем наоборот непонятно откуда ее взял
Ответ дал:
0
Да, верно! Ответ 17
Ответ дал:
0
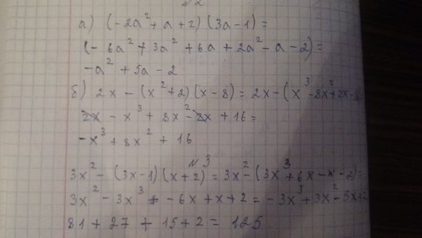
2.
а) (-2a^2+a+2)(3a-1)=-6a^3+2a^2+3a^2-a+6a-2=-6a^3+5a^2+5a-2
б) 2x-(x^2+2)(x-8)=2x-(x^3-8x^2+2x-16)=-x^3+8x^2+16
3.
3x^2-(3x-1)(x+2)
3x^2-(3x^2+6x-x-2)
5x-2
x=-3
-15-2=-17
Приложения:

Ответ дал:
0
в 3ем немного ошибся, в конце -5x+2, ответ 17
Вас заинтересует
2 года назад
2 года назад
7 лет назад
10 лет назад
10 лет назад
10 лет назад