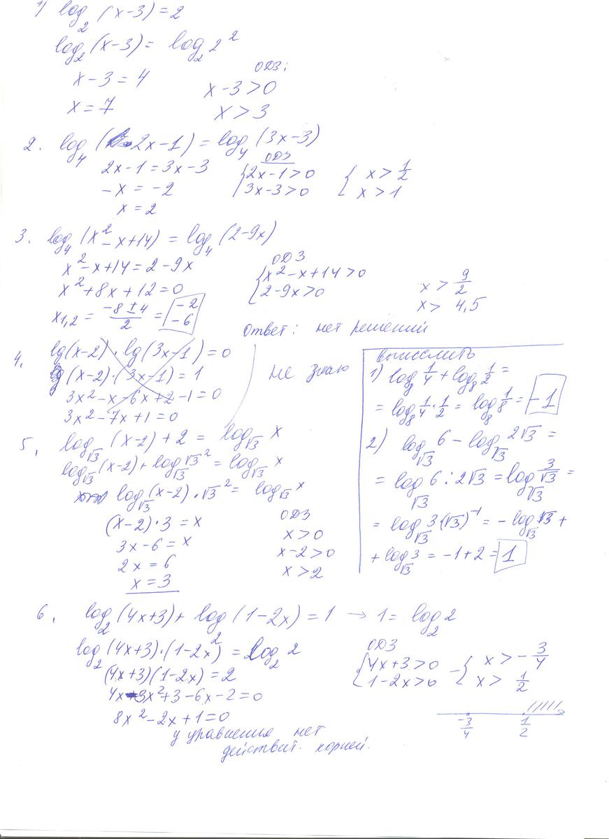
1.Решите логарифмические уравнения пожалуйста
1) log2(x-3)=2
2) log4(2x-1)=log4(3x-3)
3)log4(x в степени 2 -х+14)=log4(2-9x)
2. Выслите
1) log8 1/4 + log8 1/2
2) log 3 в корне 6- log 3 в корне 2 в корне 3
Приложения:
Ответы
Ответ дал:
0
подумаю как решить остальное на фоткерррррррррррррррррррррррррррррр
в 4 задании ОДЗ х-2>0 x>2
3x-1>0 x>1/3
уравнение равно 0 если lq(x-2)=0 или lq(3x-1)=0 lq0=1
x-2=1
x=3
3x-1=1
x=2/3 ПО ОДЗ х должен быть больше 2 поэтому ответ х=3
в 4 задании ОДЗ х-2>0 x>2
3x-1>0 x>1/3
уравнение равно 0 если lq(x-2)=0 или lq(3x-1)=0 lq0=1
x-2=1
x=3
3x-1=1
x=2/3 ПО ОДЗ х должен быть больше 2 поэтому ответ х=3
Приложения:
Вас заинтересует
8 лет назад
8 лет назад
10 лет назад
11 лет назад