• Предмет: Алгебра
  • Автор: moiseenkonasta
  • Вопрос задан 10 лет назад

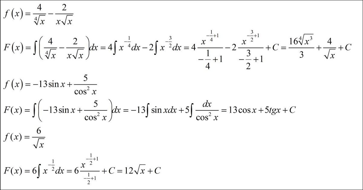
помогите..............

Приложения:

Ответы

Ответ дал: yanaaleksandrov
0
1.F(x)=6*2Vx=12Vx
2.F(X)=4*4/5x^(5/4)-2*2*V2*lnx+const=16/5x^(5/4)-4Vx*lnx+const
3. F(x)= - 13*cosx+5*tqx
1/cos^x=sec^2x
не уверена во 2
Ответ дал: yanaaleksandrov
0
нет не знаю ерунда какая то . больше никто не написал?
Ответ дал: moiseenkonasta
0
нет
Ответ дал: yanaaleksandrov
0
а тебе когда надо
Ответ дал: moiseenkonasta
0
на завтра. Я уже спросила мне сейчас скинут решения
Ответ дал: yanaaleksandrov
0
ой как хорошо, а то я волнуюсь
Ответ дал: Аноним
0
решение смотри во вложениииииииии
Приложения:
Вас заинтересует