• Предмет: Физика
  • Автор: Аноним
  • Вопрос задан 10 лет назад

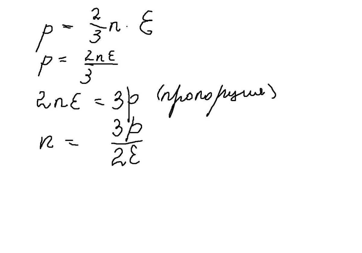
подскажите, пожалуйста, как выразить n из формулы:

Приложения:

Ответы

Ответ дал: vitalorsha
0
n=3p/2E Вроде бы так 
Ответ дал: Аноним
0
Большое спасибо:3
Ответ дал: vitalorsha
0
Не за что
Ответ дал: ekaterinastefa
0
Вот, я написала решение (см. вложение)
Приложения:
Ответ дал: Аноним
0
Большое спасибо:3
Вас заинтересует