• Предмет: Химия
  • Автор: ab3540090
  • Вопрос задан 10 лет назад

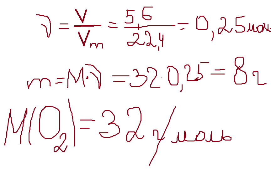
вычислите массу 5.6 л кислорода измеренного при нормальных условиях

Ответы

Ответ дал: olechka09
0
количество вещества при н.у. находится по формуле объем разделить на молярный объем , дальше через количество вещества находишь массу
Приложения:
Вас заинтересует