Прошу решите,я совсем не разбираюсь в алгебре,а завтра надо уже сдать...Заранее спасибо.
Приложения:
Ответы
Ответ дал:
0
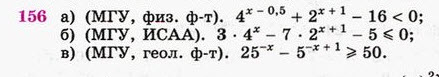
1) (1/2)*2^(2x) + 2*(2^x) - 16 < 0
2^x = z, z > 0
(1/2)*z² + 2z - 16 < 0
z² + 4z - 32 < 0
z₁ = - 8 < 0 не удовлетворяет условию z > 0
z₂ = 4
2^x < 4
2^x < 2²
x < 2
x∈ (- ∞; 2)
2) 3*(4^x) - 14*(2^x) - 5 ≤ 0
D = 196 + 4*3*5 = 256
2^x = (14 - 16)/6
2^x = - 1/3 не удовлетворяет условию 2^x > 0
2^x = (14 + 16)/6
2^x ≤ 5
x ≤ log₂ 5
x ∈ (- ∞; log₂ 5]
3) 25^(-x) - 5*(5^-x) - 50 ≥ 0
5^(-2x) - 5*(5^(-x)) - 50 ≥ 0
5^(-x) = t, t > 0
t² - 5t - 50 ≥ 0
t₁ = - 5 < 0 не удовлетворяет условию t > 0
t₂ = 10
(1/5)^x ≥ 10
x ≤ log₁/₅ 10
x ∈ ( - ∞; log₁/₅ 10]
2^x = z, z > 0
(1/2)*z² + 2z - 16 < 0
z² + 4z - 32 < 0
z₁ = - 8 < 0 не удовлетворяет условию z > 0
z₂ = 4
2^x < 4
2^x < 2²
x < 2
x∈ (- ∞; 2)
2) 3*(4^x) - 14*(2^x) - 5 ≤ 0
D = 196 + 4*3*5 = 256
2^x = (14 - 16)/6
2^x = - 1/3 не удовлетворяет условию 2^x > 0
2^x = (14 + 16)/6
2^x ≤ 5
x ≤ log₂ 5
x ∈ (- ∞; log₂ 5]
3) 25^(-x) - 5*(5^-x) - 50 ≥ 0
5^(-2x) - 5*(5^(-x)) - 50 ≥ 0
5^(-x) = t, t > 0
t² - 5t - 50 ≥ 0
t₁ = - 5 < 0 не удовлетворяет условию t > 0
t₂ = 10
(1/5)^x ≥ 10
x ≤ log₁/₅ 10
x ∈ ( - ∞; log₁/₅ 10]
Вас заинтересует
3 года назад
8 лет назад
8 лет назад
10 лет назад
11 лет назад