Очень надо!!! Помогите, пожалуйста, найти область определения функции (во вложениях)
Приложения:
Ответы
Ответ дал:
0
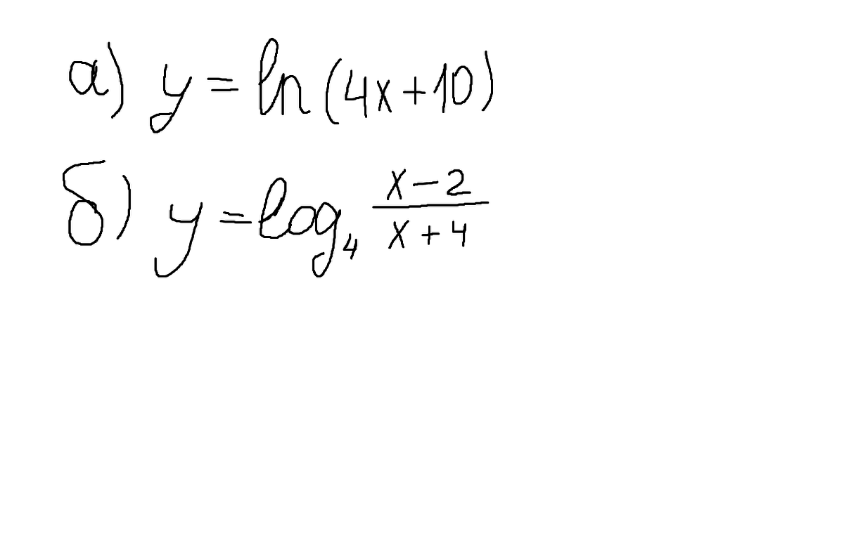
1) y = ln(4x +
10)
4x +
10 > 0
4x
> - 10
x >
- 2,5
D(y) =
(- 2,5; + ∞)
2) y = log4 [(x - 2)/(x + 4)]
(x -
2)/(x + 4) > 0
(x -
2)*(x + 4) > 0
x₁ = 2
x₂ = - 4
D(y) = (- ∞; -4) (2; +∞)
Вас заинтересует
3 года назад
3 года назад
8 лет назад
8 лет назад
10 лет назад
10 лет назад
11 лет назад