• Предмет: Алгебра
  • Автор: aloloy
  • Вопрос задан 10 лет назад

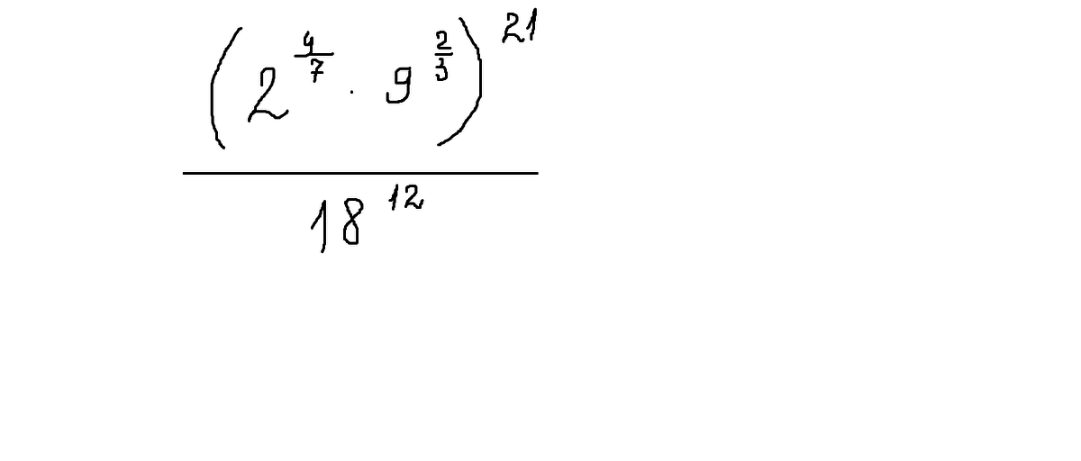
Найти значение выражения

Приложения:

Ответы

Ответ дал: Бичора
0
 frac{ (2^{ frac{4}{7} }* 9^{ frac{2}{3} })^{21}  }{ 18^{12} } = frac{2^{12}*9^{14}}{2^{12}*9^{12}} = 9^{14-12}=9^2=81
Вас заинтересует