Ответы
Ответ дал:
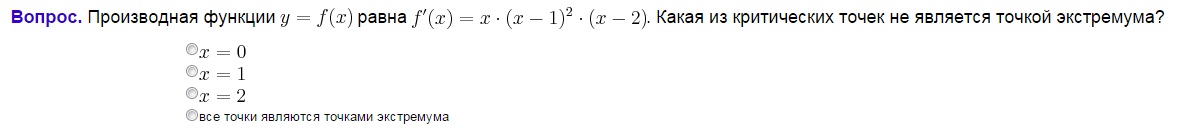
0
Ответ второй
Т.к. корень x-1 корень кратности два и при переходе через него производная не меняет знак,следовательно функция в сией точке не имеет экстремум
Т.к. корень x-1 корень кратности два и при переходе через него производная не меняет знак,следовательно функция в сией точке не имеет экстремум
Вас заинтересует
3 года назад
8 лет назад
10 лет назад
10 лет назад
11 лет назад