• Предмет: Математика
  • Автор: ILLARION23
  • Вопрос задан 10 лет назад

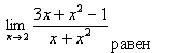
ребят 50 балов за один пример срочно!!!!!!! помогите!!!

Приложения:

Ответы

Ответ дал: d175831
0
считаем сверху при х=2, считаем снизу при х=2, делим. получается 3/2. так как это не 0 и не бесконечность, то это и ответ
Ответ дал: ILLARION23
0
неверно
Ответ дал: d175831
0
3/2=1,5. т.е. оба ответа одинаковы.
Ответ дал: vatrusy
0
Просто подставляем x=2 в подлимитное выражение
Ответ:1.5
Ответ дал: ILLARION23
0
ой не тебе
Ответ дал: vatrusy
0
3/2=1.5
Ответ дал: ILLARION23
0
а у тебя верно)
Ответ дал: vatrusy
0
Ставь лучший
Ответ дал: vatrusy
0
ответ
Вас заинтересует