Ответы
Ответ дал:
0
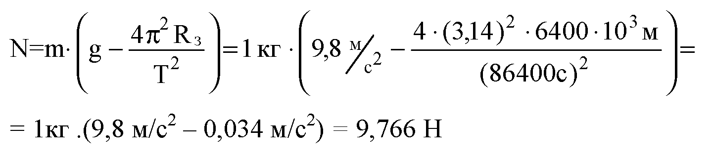
m=1000
r=1
R3=6400кг=6400*10 в 3 степени м
Приложения:

Вас заинтересует
8 лет назад
8 лет назад
10 лет назад
10 лет назад