• Предмет: Алгебра
  • Автор: sveta000777
  • Вопрос задан 10 лет назад

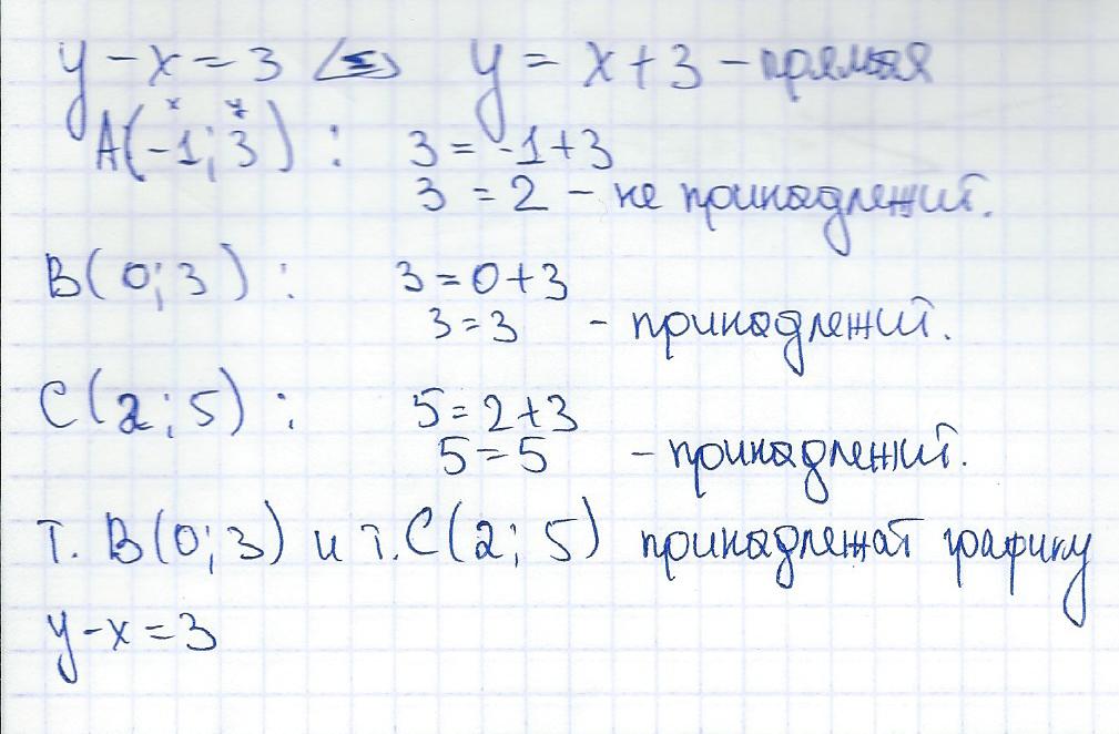
из точек А(-1;3),В(0;3),С(2;5) укажите те,которые принадлежат графику зависимости y-x=3
Пожалуйста,срочно!!!)))

Ответы

Ответ дал: rgn13
0
если равенство верно, то точка принадлежит, иначе нет
Приложения:
Вас заинтересует