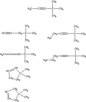
Есть формула С-С тройная связь С-С и радикалы С вверх вниз. Нужно расставить водород и составить 4 изомера и 2 гомолога
Ответы
Ответ дал:
0
Слева 4 изомера, справа 2 гомолога. Если непрвильно написал начальную формулу, то гомологи тоже неправильные. Тогда пиши в ЛС.
Приложения:

Вас заинтересует
2 года назад
8 лет назад
10 лет назад
10 лет назад
10 лет назад