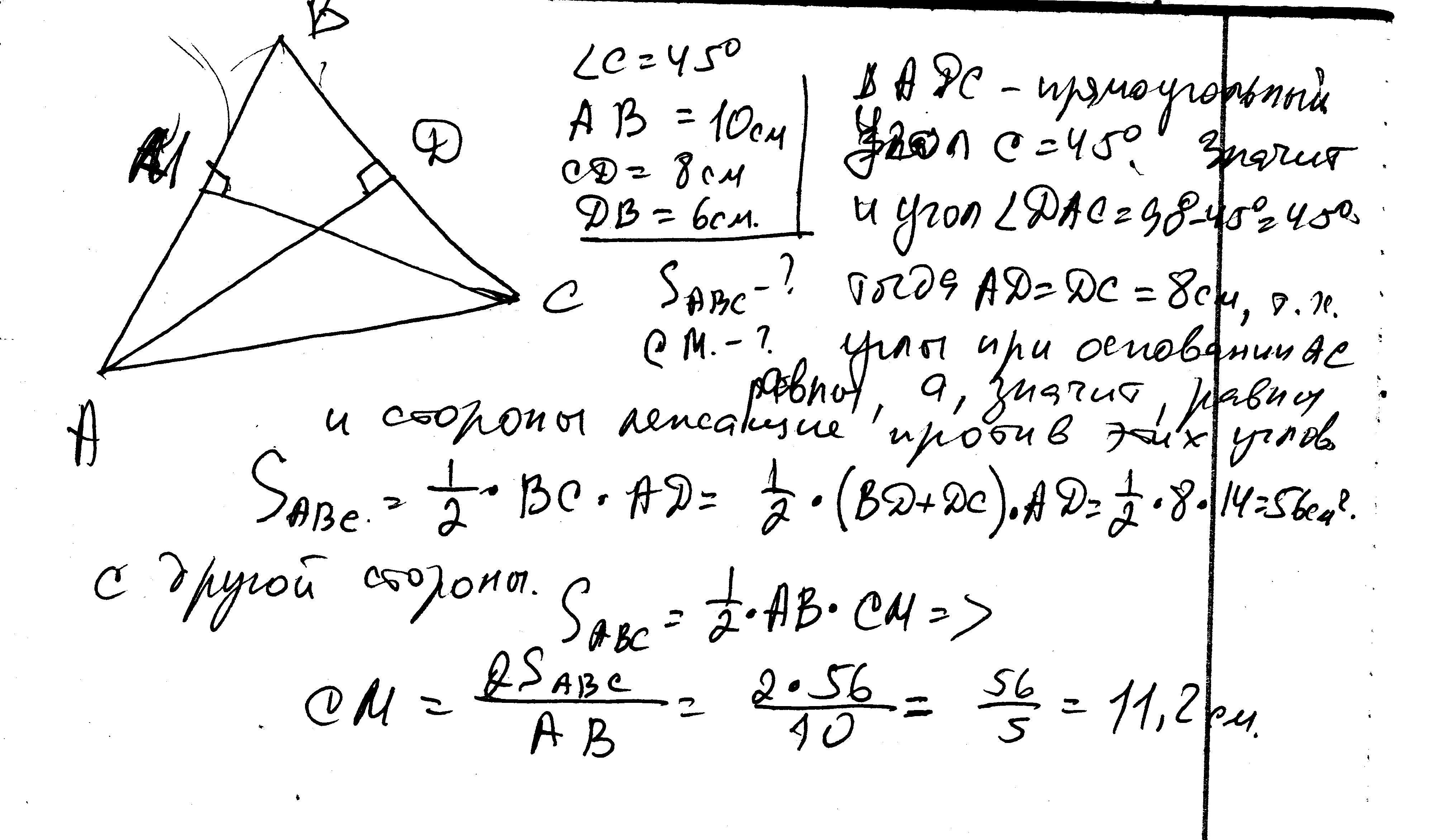
В треугольнике АВС угол С=45 градусов, АВ=10см. Высота АD делит СВ на отрезки СD=8см, DВ=6см. Найти SАВС и высоту, проведенную к АВ.
Ответы
Ответ дал:
0
решение в скане.................
Приложения:
Вас заинтересует
3 года назад
3 года назад
8 лет назад
8 лет назад
11 лет назад
11 лет назад
11 лет назад