• Предмет: Математика
  • Автор: zarekyou66
  • Вопрос задан 10 лет назад

Пример пожалуйста решите

Приложения:

Ответы

Ответ дал: Ellenochka
0
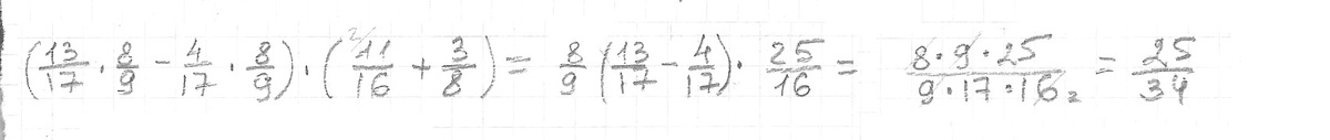
вариант решения во вложении
Приложения:
Ответ дал: alexomon555
0
помоги мое задание пж
Вас заинтересует